
取消
清空記錄
歷史記錄
清空記錄
歷史記錄



全球第四款,日本**
2023年8月1日,日本衛生部的一個小組建議批準**三共基于mRNA的COVID-19**疫苗,這將是全球第四款,日本****mRNA疫苗。
**三共于2023年1月向監管機構提交了mRNA**疫苗DS-5670,商標名為 Daichirona。在****大流行期間,日本主要依賴由美國制藥商Pfizer和Moderna開發的進口**mRNA疫苗。
Daichirona(DS-5670)
DS-5670是一種針對COVID-19的mRNA疫苗,使用了由**三共發現的一種新型核酸遞送技術。DS-5670靶向******(SARS-CoV-2)的受體結合域(RBD),預計是安全有效的。此外,**三共公司還致力于開發可在冷藏溫度范圍(2-8°C)內保存mRNA疫苗。DS-5670 的臨床開發是通過日本醫學研究開發機構(AMED)發起的 “**狀病毒病(COVID-19)疫苗開發(第二輪)”以及由MHLW支持的“疫苗生產緊急改進項目”開展的。
**檢索
筆者檢索眾多公開渠道,并未查到明確**信息,但是受上文“**三共發現的一種新型核酸遞送技術”啟發,對**三共的**進行了檢索。檢索到了**號:WO2021251453A1這一篇**三共于2021年12月申請的**,并在**家族中發現了“CN115605221A”這一篇中國**。

通過對中文**進行檢索和分析。初步推測其mRNA**疫苗的組成。
DS-5670**推測
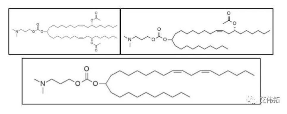
陽離子脂質
根據權力1的要求,可能的陽離子脂質結構有三種:
PEG脂質
利要求12~14的任一項中所述的粒子,其中,PEG脂質是1,2?二肉豆蔻酰?sn?甘油甲氧基聚乙二醇和/或N?[甲氧基聚(乙二醇)2000]氨基甲酰基]?1,2?二肉豆蔻氧基丙基-3-胺。
兩親性脂質:
權利要求12所述的粒子,其中,兩親性脂質是選自二硬脂酰磷脂酰膽堿、二油酰磷脂酰膽堿和二油酰磷脂酰乙醇胺的至少1個。
輔助脂質:
權利要求12或13中所述的粒子,其中,甾醇類是膽固醇。
組成比例
16 .權利要求12~15的任一項中所述的粒子,其中,兩親性脂質、甾醇類、陽離子脂質、和PEG脂質的脂質組成是以摩爾量計,兩親性脂質為15%以下、甾醇類為20~55%、陽離子脂質為40~65%、PEG脂質為1~5%,相對于核酸重量的總脂質重量的比率是15~30。
17 .權利要求16所述的粒子,其中,兩親性脂質、甾醇類、陽離子脂質、和PEG脂質的脂質組成是以摩爾量計,兩親性脂質為5~15%、甾醇類為35~50%、陽離子脂質為40~55%、PEG脂質為1~3%,相對于核酸重量的總脂質重量的比率是15~25。
18 .權利要求17所述的粒子,其中,兩親性脂質、甾醇類、陽離子脂質、和PEG脂質的脂質組成是以摩爾量計,兩親性脂質為10~15%、甾醇類為35~45%、陽離子脂質為40~50%、PEG脂質為1~2%,相對于核酸重量的總脂質重量的比率是17 .5~22 .5。
19 .權利要求18所述的粒子,其中,兩親性脂質、甾醇類、陽離子脂質、和PEG脂質的脂質組成是以摩爾量計,兩親性脂質為10~15%、甾醇類為35~45%、陽離子脂質為45~50%、PEG脂質為1 .5~2%,相對于核酸重量的總脂質重量的比率是17 .5~22 .5。優化后的組成及比例:
實施例

據此:推測**三共的**mRNA疫苗的組成為:DSPC、PEG-DMG、CHOL、LP(自研陽離子脂質)。
AVT可提供***核酸遞送輔料,包含DSPC、DMG-PEG2000、CHOL等產品,助力您的核酸疫苗及藥物開發。
