
取消
清空記錄
歷史記錄
清空記錄
歷史記錄



弱酸和弱堿的解離常數
強酸(鹽酸、硫酸等)和強堿(氫氧化鈉、氫氧化鉀等)是在低濃度水溶液中完全電離的酸和堿。
在生物系統中,我們通常只遇到弱酸和弱堿。弱酸和弱堿在溶液中不會完全解離,而是未解離的和已解離的物質的平衡混合物。例如,在水溶液中,醋酸是醋酸根離子、氫離子和未解離的醋酸分子的平衡混合物。這些物質之間的平衡可以表示為:
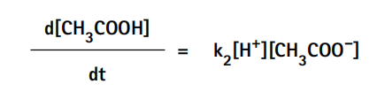
式中,k1為醋酸分子解離生成醋酸根離子和氫離子的速率常數,k2為醋酸根離子和氫離子結合生成醋酸分子的速率常數。醋酸的解離速率d[CH3COOH]/dt取決于解離速率常數(k1)和醋酸[CH3COOH]的濃度,可表示為:
同樣地,醋酸的生成速率d[HAc]/dt取決于結合速率常數(k2)以及醋酸根離子和氫離子的濃度,可表示為:
一般地,自上述反應開始起,弱電解質分子電離出離子的速率不斷降低,而離子重新結合成弱電解質分子的速率不斷升高,當兩者的反應速率相等時,溶液便達到了電離平衡。此時,溶液中電解質分子的濃度與離子的濃度分別處于穩定狀態,不再發生變化。
電離平衡可以簡要概括為:在一定條件下,弱電解質的離子化速率等于其分子化速率。
由于在平衡條件下解離和再結合的速率相等,可得:
即溶液中的電離出來的各離子濃度乘積與溶液中未電離的電解質分子濃度的比值是一個常數,叫做該弱電解質的電離平衡常數,簡稱電離常數(Ka)。電離常數描述了一定溫度下,弱電解質的電離能力。
而上面的平衡表達式可以重新排列為:
其中,氫離子濃度用平衡常數、醋酸分子以及醋酸根離子的濃度表示。
需要注意的是,電離平衡常數只適用于弱電解質的計算,強電解質不適用。并不是強電解質沒有電離平衡常數,由于物理作用等因素影響,強電解質也并非完全電離。只不過強電解質不使用電離平衡常數進行相關計算。強電解質可以用陰陽離子平均活度來表示電離程度,參與計算。
