
取消
清空記錄
歷史記錄
清空記錄
歷史記錄



好消息一:
C12-200有效遞送siRNA[1],通過組合篩選,可實現低劑量,高效率的基因沉默效果。
好消息二:
AVT的C12-200已上線,歡迎詢價采購。
在發現和開發能夠引導小干擾RNA(SiRNA)通過許多屏障保護目標細胞內部的載體方面,人們做出了巨大的努力。雖然研究已經顯示基因沉默在體內的潛力,但要發揮RNA干擾療法的***潛力,必須提高給藥效果。通過組合,合成和篩選不同類別的材料,已經確定了一種能使siRNA引導的小鼠肝臟基因沉默的配方,其劑量低于0.01毫克/千克。這種制劑在一次注射后還能同時抑制五個肝基因的表達。這種制劑的潛力在非人類靈長類動物中得到進一步驗證,在這種情況下,在低至0.03mg/kg的劑量下,觀察到臨床相關基因轉胸腺肽的高度敲除水平。據文章所示,這種制劑有助于基因沉默,其劑量比任何先前描述的siRNA肝傳遞系統所要求的低一個數量級。
Lipidoid-siRNA制劑的體內篩選是由類脂,膽固醇,和PEG脂質組成。在100、20和100 mg/mL的無水乙醇中分別溶解得到了類脂、膽固醇和DMG-mPEG 2000的原液。各組分按照比例組合,質量比為52:20:28。在200 mM的醋酸鈉緩沖液(pH 5.0)中加入有機相,攪拌形成空脂質體。在50 mm的醋酸鈉溶液中加入10 mg/mL的siRNA,以總脂質:siRNA為10:1的比例,將siRNA加入空脂質體中,在37℃下孵育30 min。然后用3,500 MWCO的透析盒(皮爾斯)對PBS進行透析75 min。在緩沖液交換后,每種制劑的樣品被用于粒子的表征。采用改良的RiboGreen法(Invitrogen)定量siRNA的包封率,用動態光散射法測量平均粒徑。
用Jeffs等人提出的方法制備了C12-200-siRNA。用90%乙醇(摩爾比50:10:38.5:1.5)對C12-200、DSPC、膽固醇和mPEG 2000-DMG進行增溶。siRNA在10 mm檸檬酸鹽溶液中溶解(pH3.0,緩沖液濃度為0.4mg/mL)。用裝有雙相泵頭的蠕動泵,在等效體積流量下,混合在“T”結中,對乙醇脂質溶液和siRNA水溶液進行了泵提。脂質與siRNA的結合比例為7:1(wt:wt)。用PBS(155 mm NaCl,3mm Na2HPO4,1mm KH2PO4,pH7.5)對自發形成的C12-200-siRNA進行透析,去除乙醇和交換緩沖液。
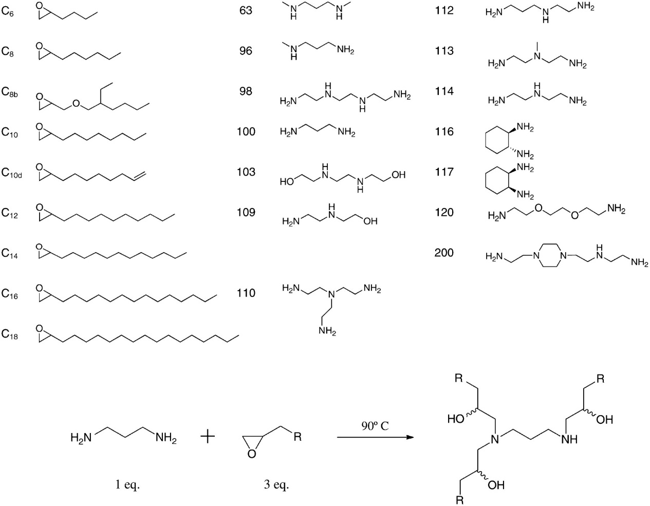
圖1:通過組合,設計了陽離子脂質化合物庫。
基于脂質的載體介導的siRNA體外釋放。
以熒光素酶表達的Hela衍生細胞株為研究對象,以高通量的方式篩選脂質類材料。對這些細胞進行基因修飾,穩定表達酶。在本實驗中,以質量比2.5:1,5:1,10:1和15:1的脂質:siRNA進行絡合,并與細胞在生長培養基中孵育。熒光素酶的表達在不發生腎素還原的情況下被認為是siRNA介導的沉默,而renilla的表達被作為脂質相關毒性的內部對照。細胞毒性試驗也沒有任何不良反應的證據。在這個篩選中,發現了許多有助于熒光素酶沉默的化合物,其中三個化合物的沉默率超過90%。為了便于展示,只顯示了5:1的質量比的數據。有趣的是,從這些結果中出現了許多結構-活動關系。就尾部長度而言,在15種性能**的結構中,有7種結構的尾長為14碳。此外,尾巴長度小于12-碳的化合物也不會引起大于30%的沉默。在頭部基團設計中,amine 113存在于前兩種化合物和前15種化合物中的三種。雖然在C14尾和amine 113上的趨同是明顯的,但并不是所有含有這些結構的化合物都表現出沉默活性。例如,在體外,C8-113和C14-116都不能促進基因沉默,這表明通過優化胺基和尾長的組合來提高傳遞效率是必要的。
圖2:脂質體庫的體外篩選
在表達熒光素酶的Hela細胞中,對脂質體進行篩選。(A)將抗熒光素酶的siRNA與可電離陽離子脂質復合,與培養基中的細胞共同孵育。(B)小劑量siRNA沉默熒光素酶。
圖3:在小鼠體內沉默FVII因子。
圖4:通過檢測FVII蛋白水平,觀察C12-200介導的基因沉默在體內持續時間超過40天。
圖5:五個位于肝臟的基因靶點。
據我們所知,這是關于siRNA介導的五個肝臟靶點在體內同時沉默的*早報道。考慮到C12-200介導的遞送的效力,我們假設更多的基因可以同時被合并的siRNA產物沉默。從**的角度來看,這可以實現更復雜的**方法,其中多個靶點的沉默可以獲得增強的**效果。例如,這種策略可能特別適用于**病毒**,如丙型肝炎病毒(HCV),在這種病毒**中,快速進化的病毒基因組已被證明對單一序列的siRNA難以實現。事實上,這一想法以前已經在體外證明,利用核糖核酸內切酶制備的siRNA和編碼針對HCV基因組多個區域的短發夾RNA的逆轉錄病毒載體進行遞送。這種多靶點**方法還可以采用不同的策略來**多因素疾病,如代謝綜合征、**或**性疾病
圖6:C12-200-siRNA顆粒通過大細胞吞噬引起細胞攝取
(A) 用C12-200配制的熒光標記的siRNA與HeLa細胞在各種內吞途徑的標記標記物存在下孵育。含有siRNA的顆粒與標記的葡聚糖共定位,葡聚糖是一種已知通過大細胞吞噬作用進入細胞的液相標記物(白色箭頭)。(B) 肌動蛋白纖維的熒光標記揭示了在HeLa細胞暴露于C12-200-siRNA顆粒的15分鐘內,膜褶皺(白色箭頭)和肌動蛋白重排,這是大胞飲攝取的標志性指標。(C,D)細胞先前暴露于EIPA和Cytochalasin D,分別是大胞飲和肌動蛋白聚合的抑制劑,以劑量依賴性的方式減少C12-200-siRNA顆粒的攝取。(s.d.,n=3,***P<0.005;**P<0.01;*P<0.05
圖7:C12-200對非人類靈長類動物的**效果。
食蟹猴(每組n=3)通過頭靜脈接受PBS或0.03、0.1或0.3 mg/kg在C12-200中配制的siTTR,作為15分鐘的靜脈輸注(5 mL/kg)。在給藥后48小時從動物身上采集肝活檢。在肝臟樣品中測定TTR mRNA水平相對于***DH mRNA水平。數據點**組平均值±s.d
本研究*終認為:開發安全有效的siRNA遞送載體是基于RNAi的**方法持續進步的重要組成部分。隨著C12-200等高效材料的鑒定,可以實現更寬的**指數、持久的基因沉默和多靶點**疾病的方法。
Reference:
[1]. Lipid-like materials for low-dose, in vivo gene silencing
目前,AVTC12-200已經正式上架,歡迎咨詢!
